An Approach to Consider for the Repair of an Altered Strike Mechanism on a Mechanical Clock

         BACKGROUND:
         The majority of rack-and-snail type strike mechanisms that have come by my bench for repairs have worked very well with the usual adjustments. These adjustments include the proper end-shake of the parts on their posts, the depth of engagement of the rack into the snail, the height by which the strike flirt lifts the hook lever to activate the strike, the height by which the strike flirt lifts the hook lever before the warning pin is detained by the strike flirt, to name a few. With minor adjustments such as these, most strike mechanisms work as designed.

         However, I have had a few hand-made, antique clocks arrive for repairs that had design problems. The depth of the rack teeth would be different for one end of the teeth versus the other end. The depth of engagement of the rack in the snail would vary from step to step of the latter. The depth of engagement of the gathering pallet into each tooth of the rack would vary from tooth to tooth. The way the tail of the gathering pallet would lock onto the locking pin on the rack would vary from clock to clock. I was advised to adjust these as closely to their original designs as possible and to keep trying until they worked.

         The ultimate horror encountered by a clock repairman is an escapement that has been incorrectly altered, or "butchered", by a previous repairman. Then there is the butchered strike mechanism. I have had two Herschede 9 tubular bell grandfather clocks for repairs that had visibly undergone the butcher's wrath. The first one would not stop chiming. The locking faces of the first chime rack tooth and of the hook lever had been filed more deeply, the angles altered, to such an extent that the gathering pallet tail missed the stop pin on the rack, so it would chime until the chime weight reached the bottom of the case. In an effort to compensate for this, a bushing had been soldered onto the stop pin. A large amount of solder and flux had been used to make sure the bushing would remain in place. However, the locking angles were incorrect, and the hook lever would jump out when the gathering pallet tail would hit the stop pin, which it hit from the side, exerting an enormous repelling force on the stop pin, exacerbating the problem. The second clock had experienced the same mutilations on the strike side, except a bushing had not been soldered onto the stop pin. The hook lever would jump up when the gathering pallet tail would strike the stop pin at an angle, similarly exerting an enormous repelling force on the stop pin.

         Those repairing clocks need to understand what the original manufacturers intended when their engineers designed these clocks. A proper understanding of the concepts will make repairs much easier.


         DESIGN AND APPLICATION TO REPAIRS:
         The principle is very simple: EVERYTHING MOUNTED ON A POST, WITH AN AXIS OF ROTATION, BEHAVES OR MOVES IN A CIRCULAR MOTION AND SHOULD BE DESIGNED ABOUT A CIRCLE.

         The shape of the rack should be seen as part of the circumference of a circle, the center of which is the axis of rotation of the rack:




Otherwise the depth of engagement between the gathering pallet and the rack teeth would vary.

         The shape of the rack teeth should be determined by the same circle. Their locking angles are not the same, but vary according to the radius of the circle from the center to the tip of each tooth. The angle of each tooth should be the same as the radius to each:




It makes sense to suggest that the face on the other side of each tooth should be at 45� from its respective radius.

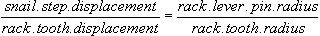
         When the rack is released, it rotates, in this case, counterclockwise, and the lever pin, also seen as part of a circle, rotates until it runs into the snail. The center of rotation of the snail lies on the circle circumference made by the rack lever pin, or otherwise the pin would run into the snail at different positions on the snail steps. During assembly of a clock, the repairman should verify the point of engagement of the rack lever pin on each snail step because, in practice, the pin does not always engage on the same point of each step. Some manufacturers have addressed this difference between theory and practice by mounting the snail onto a star wheel, as on some French carriage clocks, rather than on the centershaft.




         Each step of the snail is seen as part of a circle, so there are twelve circles, the radii of which decrease in twelve steps of equal decrement. The center of the snail, which for many clocks is also the centershaft, lies on the circle circumference made by the rack lever pin so that the pin will hit the center of each step as the snail rotates one twelfth of a turn every hour. It will be necessary to indent the snail between "12" and "1" because of the rotational path traced by the rack lever pin. This indentation is not shown in the drawing (because of problems I had with the software).




         Note that the magnitude of the step is the same as the arc between each rack tooth if the rack lever pin's radius and the radius of the rack's teeth are the same (in magnitude). Otherwise, their relationships could be calculated using ratios:




         The hook lever should be seen as part of the circumference of a circle. Therefore the locking face of the lever is curved, not straight. Remember that the locking faces of the rack teeth are straight.




         The locking faces of the rack teeth (straight) and of the rack hook (curved) could be seen as approximately parallel if the axis of rotation of the locking lever lies on the tangent (line A) off the circle circumference of the rack at the mid-point of the rack tooth (that is, at 90� to the rack tooth's circle radius, line B).



         The gathering pallet should engage the tooth it is about to move as deeply as possible, but not bind with the next tooth.

         When repairing a rack-and-snail type striking clock, note that there should be a minimum clearance between the gathering pallet tail and the rack stop pin when the locking lever is in the first tooth. Of course, the rack stop pin and the gathering pallet tail should not touch as the latter passes by, (in a counterclockwise direction). By maintaining a minimum clearance, described above, we ensure a maximum engagement of the gathering pallet tail and the rack stop pin when the locking lever is behind the first tooth in the locking position.

         Last, but not least, the gathering pallet tail should engage the rack stop pin at right angles (90�) to the rack circle radius. With the forces acting at right angles, the force of the pallet tail on the rack stop pin will not tend to result in the rack pin being repelled by the gathering pallet tail, which can result in the hook lever jumping up if the locking angle were incorrect: non-stop striking problems.




         In order for the gathering pallet tail to engage the rack stop pin at right angles to the rack circle radius, the axis of rotation of the gathering pallet would have to be on the line at right angles to the rack circle radius if the locking face of the gathering pallet tail were flat. If the gathering pallet tail were curved, as on Herschede clocks, the tangent off the curve at the point where the gathering pallet tail meets the rack stop pin needs to be at right angles to the rack circle radius. Similarly, the tangent off the curve of the rack stop pin, which is round, needs to be at right angles to the rack circle radius.

         I mentioned earlier that the gathering pallet should engage the tooth it is about to move as deeply as possible, but not bind with the next tooth. In practice, this statement needs to be qualified because this is the starting point, after which adjustment must be made. If engagement proves to be too deep, the gathering pallet may move the rack by two teeth at a time. The depth must then be reduced so that the gathering pallet moves the rack by more than one tooth but less than two: I would recommend a displacement of 1.3 to 1.6 teeth, so that the rack would retreat a little when released. If there were no visible retreat when released, the gathering pallet may sometimes fail to move the rack by a full tooth, so the clock would strike too many times or not stop striking. If the retreat were great, a common symptom, there would be the risk of strike problems: since the gathering pallet rotates in a counterclockwise direction on most clocks of this type, wear of the adjacent bushing takes place towards the right side, which would make the retreat greater and the gathering pallet may sometimes move the rack by two teeth at a time. There must therefore not be too much retreat action to forestall the possibility of this problem. Wear of this same bushing would also cause the gathering pallet tail to hit the rack stop pin in a more shallow manner, which could change the angle of engagement and result in a repelling action.

         An adjustment to consider to reduce the impact of the gathering pallet onto the rack stop pin is to pay close attention to the governor. If the governor is designed such that it is not tight on its arbor, the tension of the spring may be adjusted so that the governor would be just tight enough to create wind resistance without slipping but loose enough to be able to slip when the gathering pallet hits the rack stop pin. The momentum of the spinning governor could thus be dissipated.

         With a better understanding of how the parts are supposed to interact, the clock repairman can proceed to repair the clock in a straightforward manner, without trial and error. Sometimes, the repairman can improve a little on the original design. However, most of the time, he will be constrained by the original design and have to compromise for a best effort repair given the original design. Some designs, while they do work, are far from ideal.

         I would like to thank Don McCurdy, an AutoCAD specialist, for teaching me how to create the drawings in this project.


Go to Strike Mechanism (Part 2)

Clock Repair Main Page
Escapements in Motion
Links Page
Tributes Page
Home Page